Integration by substitution
Categories: integration calculus
Integration by substitution is a method that can be used to find definite and indefinite integrals. It can be used to evaluate integrals that match a particular pattern, that would be difficult to evaluate by any other method.
It is related to the chain rule in differentiation. Integration by substitution can be thought of as the reverse process of differentiating using the chain rule. Many of the standard patterns we look for when trying to apply substitution were originally derived from the chain rule.
This method is sometimes called integration by change of variables. It is also sometimes called u-substitution because the new variable is traditionally called u.
Simple example of substitution
As a simple example, we will evaluate this indefinite integral:

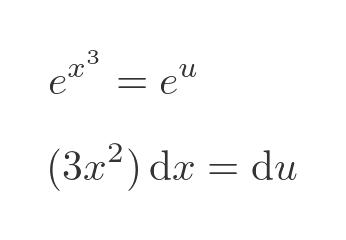
It might not be immediately obvious how to solve this, but we can simplify the integral by expressing it in terms of a new variable, u, given by:

We will see later how we might guess this substitution. It will also be useful to know the value for du in terms of dx. This can be found quite easily by differentiating the expression for u:

Now let's rearrange the integral from above:

We have just swapped the terms and introduced a factor of 3 into the x squared term, dividing the integral by 3 to cancel it out. This means that the two terms in the integral both look very simple in terms of u:

Substituting these terms into the integral gives:

This is now straightforward to integrate:

All we need to do now is substitute for u to obtain the integral in terms of x:

This graph shows the original function on the left and its indefinite integral (with C = 0) on the right. The right-hand graph looks plausible as a representation of the area under the left-hand curve.

Checking the result
As a double-check, we can differentiate the result above. We should get back to the original expression. Here is the integral:

This is a function of a function (it is the exponential of the cube of x), so we must apply the chain rule:

Here are f and g in this example:

And here are their derivatives:

Plugging these values into the chain rule formula gives this:

Rearranging and cancelling the 3 top and bottom gives:

Not only does this verify that integration by substitution works in this case, but it also gives us some insight into why it works. The expression to be integrated looks like the result of a chain rule differentiation. That is to say, it is the product of two terms. One term is a function of a function, f(g(x)). The other term is the derivative of the inner term, g'(x). Whenever we see something of that form, it might be a candidate for the change of variable approach.
Variable substitution for definite integral
Next, we will look at a definite integral. We will look at the cotangent function:

At first, this might not seem to fit the pattern, but we can use:

As before, we use the substitution u equal to the inner function, g(x):

This allows us to find du in terms of dx:

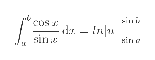
So our integral now becomes:

Here, as before, we have arranged the original integrand to separate out the du term. Notice also that we have to express the limits of the integral in terms of u rather than x. When x is equal to a, u is equal to sin a. We can now evaluate the definite integral without having to substitute u with x:

This uses the standard result that the integral of 1/x is the log of the modulus of x. If we wanted to find the indefinite integral of the cotangent we would have to substitute u as before:

This graph shows the cotangent function (on the left), with the area under the curve between π/6 and π/3 shaded:

The indefinite integral of this function is shown on the right, with a value of C chosen such that the curve is 0 when x is π/6. Therefore, the value of the curve when x is π/3 should represent the shaded area. This value is slightly over 0.5. The shaded area has a width of about 0.5 and an average height of about 1, so again it looks plausible that its area would be about 0.5.
General case
In the general case, we are trying to integrate a function of the form:

We will assume that we know the indefinite integral of f(x), which we will call F(x).
For definite integrals, the general case is:

For indefinite integrals, the general case is:

Proof
We have already seen all the elements of the proof of integration by substitution, but we will finish by bringing them all together. We will look at the definite integral, the indefinite case has a similar proof. We aim to prove that the following 2 integrals are equal:

We will, again, use F(x) to represent the indefinite integral of f(x). We can apply the chain rule to F composed with g like this:

Since F is the indefinite integral of f, the derivative of F is simply f. So we can replace F' with f:

The RHS happens to be the exact thing we are trying to integrate. Swapping left and right and taking the definite integral of both sides gives:

Notice that on the RHS we are integrating the derivative of F. This is just F (by the fundamental theorem of calculus):

Now we will use u to represent g(x) (changing the limits too):

Since F is the integral of f, we can write this as:

Which proves the formula for integration by substitution.
Related articles
Join the GraphicMaths Newsletter
Sign up using this form to receive an email when new content is added to the graphpicmaths or pythoninformer websites:
Popular tags
adder adjacency matrix alu and gate angle answers area argand diagram binary maths cardioid cartesian equation chain rule chord circle cofactor combinations complex modulus complex numbers complex polygon complex power complex root cosh cosine cosine rule countable cpu cube decagon demorgans law derivative determinant diagonal directrix dodecagon e eigenvalue eigenvector ellipse equilateral triangle erf function euclid euler eulers formula eulers identity exercises exponent exponential exterior angle first principles flip-flop focus gabriels horn galileo gamma function gaussian distribution gradient graph hendecagon heptagon heron hexagon hilbert horizontal hyperbola hyperbolic function hyperbolic functions infinity integration integration by parts integration by substitution interior angle inverse function inverse hyperbolic function inverse matrix irrational irrational number irregular polygon isomorphic graph isosceles trapezium isosceles triangle kite koch curve l system lhopitals rule limit line integral locus logarithm maclaurin series major axis matrix matrix algebra mean minor axis n choose r nand gate net newton raphson method nonagon nor gate normal normal distribution not gate octagon or gate parabola parallelogram parametric equation pentagon perimeter permutation matrix permutations pi pi function polar coordinates polynomial power probability probability distribution product rule proof pythagoras proof quadrilateral questions quotient rule radians radius rectangle regular polygon rhombus root sech segment set set-reset flip-flop simpsons rule sine sine rule sinh slope sloping lines solving equations solving triangles square square root squeeze theorem standard curves standard deviation star polygon statistics straight line graphs surface of revolution symmetry tangent tanh transformation transformations translation trapezium triangle turtle graphics uncountable variance vertical volume volume of revolution xnor gate xor gate