Derivative of tangent
Categories: differentiation calculus
Level:
In this article we will find the derivative of the tan function. This can be done using the quotient rule (this article explains the quotient rule, and shows how to use it to differentiate tan). However, in this article, we will derive it from first principles.
There is nothing wrong with using the quotient rule, but it is always good to look at things from more than one angle.
First principles approach
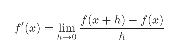
We will start with the standard formula for the derivative of a function f(x), which is:

We can apply this to the tan function:

It will make things neater, later on, if we take the 1/h out as a separate factor:

Whenever we differentiate from first principles, the main thing we need to do is to get the limit into a form where it can be evaluated, so we can remove h from the equation. Often, sin and cos are easier to deal with than the tan function, so let's try this substitution (from the definition of tan):

We can apply that definition to both tan functions in the previous equation:

We now have a sum of two fractions. One thing to try might be to combine them into a single fraction by cross-multiplying:

Performing a trig substitution
This looks quite promising. Look at the numerator:

This looks exactly like the RHS of the following well-known trig formula:

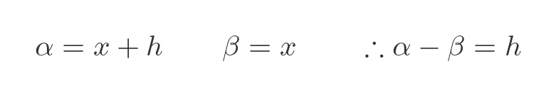
To match equation (1), we need to use the following values for α and β. Notice this gives a nice, simple value for α - β:

So we can put these values into equation (2) to obtain a simplified equation (1):

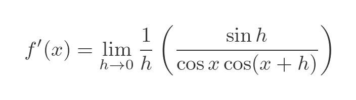
Now let's substitute that back into the main equation:

Separating the limits
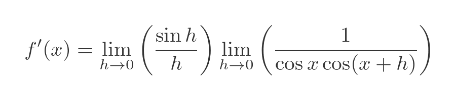
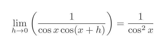
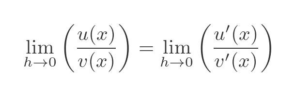
When we have a complex limit like the one above, it can be useful to split it into separate limits. In our case, the two cosines are in a form that should be easy to deal with, so we can start by separating that out. Taking the 1/h back into the brackets, we can rearrange the fraction into two parts:

There is a rule of limits that says the limit of a product is equal to the product of the limits. That gives us:

Taking the second limit, this is a simple case. As h tends to 0, x + h tends to x, so we have:

The first limit isn't so obvious, although it is quite a famous limit, so you might recognise it. As h tends to 0, sin h also tends to 0, so the limit tends to 0/0, which is indeterminate. In this situation, we can apply L'Hôpital's rule. It says that, when a quotient of two functions is indeterminate, the limit of the quotient of the functions is equal to the limit of the quotient of the derivatives of the functions, that is:

In our case, the functions are sin x and x, so the derivatives are:

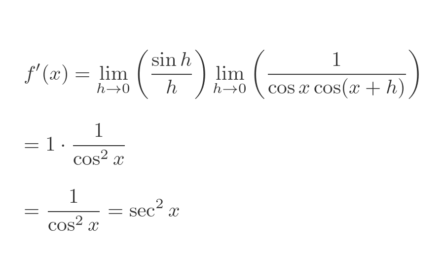
Substituting these into L'Hôpital's rule tells us that the limit is simply the limit of cos x as x goes to 0, which of course is 1:

This graph shows the functions sin x in red and x in cyan. The two functions become very close in value as x approaches 0, so it seems reasonable that their ratio at 0 should be 1. L'Hôpital's rule just formalises (and, importantly, proves) that intuition:

If we put these values back into our previous equation for f'(x), we get:

Here is a graph of the tan function in red and its derivative in cyan.

This (of course) is the same result obtained in using the quotient rule, in the linked article.
Related articles
- Slope of a curve
- Differentiation from first principles - x²
- Second derivative and sketching curves
- Differentiation - the product rule
- Differentiation - the quotient rule
- Differentiation - the chain rule
- Differentiation - the chain rule (proof)
- Differentiation - derivative of an inverse function
- Finding the normal to a curve
- Differentiation from first principles - a to the power x
- Derivative of ln x
- Derivative of sine, geometric proof
- Differentiating the inverse trig functions
- Differentiation - L'Hôpital's rule
- Limits that fail L'Hôpital's rule
Join the GraphicMaths Newsletter
Sign up using this form to receive an email when new content is added to the graphpicmaths or pythoninformer websites:
Popular tags
adder adjacency matrix alu and gate angle answers area argand diagram binary maths cardioid cartesian equation chain rule chord circle cofactor combinations complex modulus complex numbers complex polygon complex power complex root cosh cosine cosine rule countable cpu cube decagon demorgans law derivative determinant diagonal directrix dodecagon e eigenvalue eigenvector ellipse equilateral triangle erf function euclid euler eulers formula eulers identity exercises exponent exponential exterior angle first principles flip-flop focus gabriels horn galileo gamma function gaussian distribution gradient graph hendecagon heptagon heron hexagon hilbert horizontal hyperbola hyperbolic function hyperbolic functions infinity integration integration by parts integration by substitution interior angle inverse function inverse hyperbolic function inverse matrix irrational irrational number irregular polygon isomorphic graph isosceles trapezium isosceles triangle kite koch curve l system lhopitals rule limit line integral locus logarithm maclaurin series major axis matrix matrix algebra mean minor axis n choose r nand gate net newton raphson method nonagon nor gate normal normal distribution not gate octagon or gate parabola parallelogram parametric equation pentagon perimeter permutation matrix permutations pi pi function polar coordinates polynomial power probability probability distribution product rule proof pythagoras proof quadrilateral questions quotient rule radians radius rectangle regular polygon rhombus root sech segment set set-reset flip-flop simpsons rule sine sine rule sinh slope sloping lines solving equations solving triangles square square root squeeze theorem standard curves standard deviation star polygon statistics straight line graphs surface of revolution symmetry tangent tanh transformation transformations translation trapezium triangle turtle graphics uncountable variance vertical volume volume of revolution xnor gate xor gate