Differentiation - the reciprocal rule
Categories: differentiation calculus
Level:
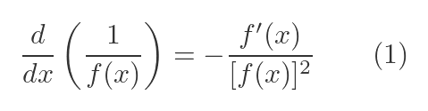
The reciprocal rule gives the derivative of the reciprocal of a differentiable function f(x):

Where f'(x) is the first derivative of f(x). This is valid for any x where:
- f(x) is differentiable at x.
- f(x) is not 0.
This rule can be very useful. It means that if we know how to differentiate f(x), we now also know how to differentiate 1/f(x). This one simple rule allows us to differentiate a huge number of extra functions using techniques we already know.
We will look at some examples, and then give two proofs.
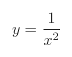
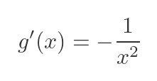
Example 1
Let's start with a simple example. We would like to differentiate this function:

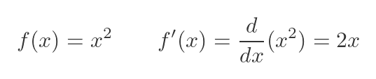
This function matches the pattern in equation (1) above, using x squared as f(x). And we know how to differentiate this function, it is simple 2x (as described here). So we have:

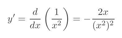
If we plug these functions into equation (1), we get this:

We can simplify the expression on the RHS:

And that is our answer.
As a quick sanity check, here are the graphs of y on the left, and y' on the right:

Remember that the slope of y (shown by the red lines on the LHS graph) should be equal to the value of y' (the dots on the RHS graph). That certainly seems to be the case. At points a and b, the slope of y is positive and getting larger. The value of y' reflects this. At points c and d, the slope of y is negative and getting smaller (in magnitude), and again y' reflects this.
We can also understand where the negative sign comes from in the equation. When f(x) gets larger, 1/f(x) gets smaller. So if the slope of f(x) is positive, the slope of 1/f(x) will be negative. And vice versa, of course. This means that the slope of 1/f(x) must always be the opposite sign to the slope of f(x).
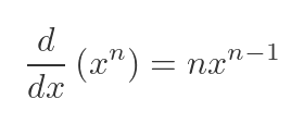
There is another check we can do. In this case, y is simply a negative power of x. And, for any integer power of n (except zero), the derivative of x to the power n is given by:

Our function can be expressed as x to the power -2, which results in the following derivative:

As you might expect, this gives the same result as the reciprocal rule.
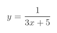
Example 2
As a second example, we will look at this function:

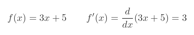
This function is the inverse of the following f(x):

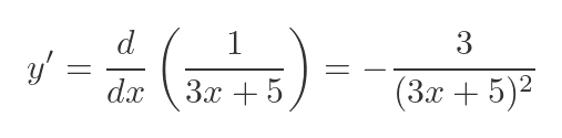
Putting f(x) and f'(x) into equation (1) above gives this equation for the derivative:

Here is the graph for this function:

Due to the square term in y', the slope of the curve is always negative. Again, the slope at points a to d matches the value of the derivative function.
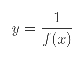
Example 3
As a final example, we will look at this function:

In this case, f(x) and f'(x) are:

So, again using (1), the derivative of the reciprocal function is:

Here is the graph:

Since sin x is always <= 1, it follows the y = 1/sin x is always >= 1. And when sin x is 0, y goes to infinity. This gives poles at 0, π, 2π, and so on.
The function also has turning points, for example at b and d, where y' is 0.
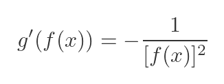
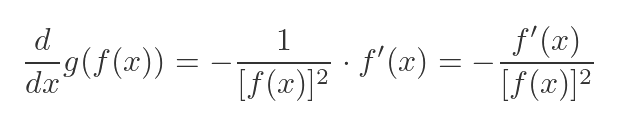
Proof using the chain rule
The chain rule of differentiation can be used to differentiate functions of the form g(f(x)), known as composite functions. The chain rule states that:

In our case, of course, we are trying to differentiate this function:

This can be written as a composite function like this:

This means that the reciprocal rule can be thought of as a special case of the chain rule, where g(x) happens to be ... well, the reciprocal function.
We can find g'(x), it is just the derivative of 1/x which is a standard derivative:

So we can find g'(f(x)):

Putting this into equation (2) above gives:

This proves the reciprocal rule.
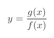
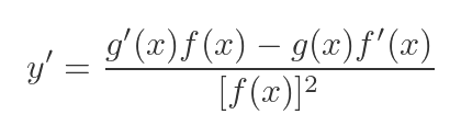
Alternative Proof using the quotient rule
The quotient rule can be used to find the derivative of functions that take this form:

The derivative can be found like this:

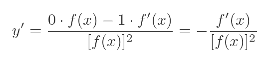
The reciprocal rule can be thought of as a special case of the quotient rule, this time where g(x) is 1. Since g(x) is contanty, this also means that g'(x)* is 0:

Plugging these values into the quotient rule formula above makes the formula much simpler:

Once again, this reduces to the reciprocal rule.
Related articles
- Slope of a curve
- Differentiation from first principles - x²
- Second derivative and sketching curves
- Differentiation - the product rule
- Differentiation - the quotient rule
- Differentiation - the chain rule
- Differentiation - the chain rule (proof)
- Differentiation - derivative of an inverse function
- Finding the normal to a curve
- Differentiation from first principles - a to the power x
- Derivative of ln x
- Derivative of sine, geometric proof
- Derivative of tangent
- Differentiating the inverse trig functions
- Differentiation - L'Hôpital's rule
- Limits that fail L'Hôpital's rule
Join the GraphicMaths Newsletter
Sign up using this form to receive an email when new content is added to the graphpicmaths or pythoninformer websites:
Popular tags
adder adjacency matrix alu and gate angle answers area argand diagram binary maths cardioid cartesian equation chain rule chord circle cofactor combinations complex modulus complex numbers complex polygon complex power complex root cosh cosine cosine rule countable cpu cube decagon demorgans law derivative determinant diagonal directrix dodecagon e eigenvalue eigenvector ellipse equilateral triangle erf function euclid euler eulers formula eulers identity exercises exponent exponential exterior angle first principles flip-flop focus gabriels horn galileo gamma function gaussian distribution gradient graph hendecagon heptagon heron hexagon hilbert horizontal hyperbola hyperbolic function hyperbolic functions infinity integration integration by parts integration by substitution interior angle inverse function inverse hyperbolic function inverse matrix irrational irrational number irregular polygon isomorphic graph isosceles trapezium isosceles triangle kite koch curve l system lhopitals rule limit line integral locus logarithm maclaurin series major axis matrix matrix algebra mean minor axis n choose r nand gate net newton raphson method nonagon nor gate normal normal distribution not gate octagon or gate parabola parallelogram parametric equation pentagon perimeter permutation matrix permutations pi pi function polar coordinates polynomial power probability probability distribution product rule proof pythagoras proof quadrilateral questions quotient rule radians radius rectangle regular polygon rhombus root sech segment set set-reset flip-flop simpsons rule sine sine rule sinh slope sloping lines solving equations solving triangles square square root squeeze theorem standard curves standard deviation star polygon statistics straight line graphs surface of revolution symmetry tangent tanh transformation transformations translation trapezium triangle turtle graphics uncountable variance vertical volume volume of revolution xnor gate xor gate