Differentiating the inverse trig functions
Categories: differentiation calculus
Level:
In this article, we will find the derivatives of the inverse trigonometric functions arcsin, arccos, and arctan. We will use two different methods: the inverse function rule and implicit differentiation.
These derivatives are particularly useful because they can be applied in reverse to integrate certain types of functions.
Differentiating the inverse sine function
We can use the inverse function rule to find the derivative of the inverse sine function. Here is the rule, from the article mentioned above:

Here, f is the inverse function, and g is the inverse of f (which is the original function). In our case, f is the inverse sine function (ie, the arcsin function). g is the inverse of the inverse sine function, which is just the sine function:

The arcsin function is multivalued (for example, the arcsin of 0 can be 0, or π, or 2π, etc). We will only consider the principal values of f(x), that is, values in the range (-π/2, π/2], to avoid any issues with that.
It isn't particularly easy to differentiate the inverse sine function directly, but of course, we know how to differentiate the sine function, so this is a good fit for the inverse function rule.
Here is a graph of the arcsin function (left) and the sin function (right):

We can differentiate g, it is a standard result:

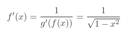
Now we can find g'(f(x)):

Unfortunately, that doesn't look very helpful. We still have an arcsin, but now it is wrapped in a cos. It looks worse than the original expression!
It would be a lot easier if we could manipulate this expression so that it depended on the sin of the arcsin of x, because that would leave us with just x. Fortunately, Pythagoras comes to our rescue. We know from the Pythagorean identity that:

This can be rearranged as:

We can apply this to our original problem by setting u equal to the arcsin of x:

This gives us exactly what we need:

Remember that we are only considering x in the range (-π/2, π/2], so we can treat the arcsin function as being single-valued. So the sin of the arcsin is just x:

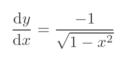
Finally, we can find an expression for the derivative of f:

This graph shows the original arcsin function on the left, and its derivative on the right. Notice that the slope of the curve is always positive. The minimum slope is 1, when x is 0, and the slope gets larger as we approach ±1.

We have limited ourselves to values of x in the range (-π/2, π/2]. Since the sin curve is cyclic, it would be possible to extend this to other parts of the curve, but we won't cover that here.
Differentiating the inverse cosine function
Next, we will look at a similar problem, finding the derivative of the arccos function:

This can be rewritten in terms of the cosine function, this time limiting x to the range [0, π) (as shown in the graph later):

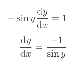
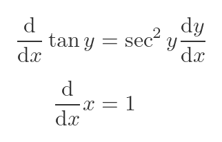
We are going to use a different technique this time, called implicit differentiation. We won't cover it in detail here, but we essentially differentiate both sides of the equation. For the LHS, we use the chain rule. The derivative of cos y is -sin y multiplied by the derivative of y:

On the RHS, the derivative of x is just 1:

Equating these and rearranging gives us the derivative:

This is similar to the problem we had earlier, when we needed to find the cos of an arcsin. This time we have sin y, but we would prefer to have cos y, because cos y equals x. Again, we use the Pythagorean identity:

This gives us a final result for the derivative:

The LHS below shows the arccos function, and the RHS shows the derivative:

Comparing the derivatives
The two derivatives are very similar. In fact, the derivative of arccos is the exact negative of the derivative of arcsin. This might seem a little counterintuitive at first. We know that sine and cosine curves have the same shape, but they are normally displaced by 90 degrees. This graph shows the inverse sine and cosine on the left, and the derivatives on the right (using the same colours as the earlier graphs):

On the LHS, the arccos function is indeed shifted relative to the arcsin function. But we are differentiating the functions, so we don't care about the position of the curve, only the slope matters. And clearly, ignoring the offset, the two curves are vertical mirror images of each other. Which means the slopes are equal in magnitude but opposite in sign.
Differentiating the inverse tangent function
Finally, we will look at the derivative of the arctan function. We will use the same technique as we used for arccos, and since there are a lot of similarities, we won't duplicate all the details here.
Here are the definitions of y in terms of x, and x in terms of y:

This graph shows arctan on the left and tan on the right:

We will use implicit differentiation. similar to the arccos case. This time, the derivative of tan y is sec2 y (proved here):

Again, we are using the fact that the derivative of x is 1. This leads to the following expression for the derivative in terms of y:

This involves sec y, but we would prefer to express it in terms of tan y. Once again, we can use the Pythagorean identity. We will use a variant of the normal Pythagorean identity, obtained by dividing through by cos2.

Since we are finding sec2 rather than sec, this expression does not involve a square root. So the derivative of arctan is:

Here is a graph of arctan on the left and the derivative on the right:

The maximum slope is 1, when x is 0. The slope goes to 0 as x heads to infinity in either direction.
Related articles
- Slope of a curve
- Differentiation from first principles - x²
- Second derivative and sketching curves
- Differentiation - the product rule
- Differentiation - the quotient rule
- Differentiation - the chain rule
- Differentiation - the chain rule (proof)
- Differentiation - the reciprocal rule
- Differentiation - derivative of an inverse function
- Finding the normal to a curve
- Differentiation from first principles - a to the power x
- Derivative of ln x
- Derivative of sine, geometric proof
- Derivative of tangent
- Differentiation - L'Hôpital's rule
- Limits that fail L'Hôpital's rule
Join the GraphicMaths Newsletter
Sign up using this form to receive an email when new content is added to the graphpicmaths or pythoninformer websites:
Popular tags
adder adjacency matrix alu and gate angle answers area argand diagram binary maths cardioid cartesian equation chain rule chord circle cofactor combinations complex modulus complex numbers complex polygon complex power complex root cosh cosine cosine rule countable cpu cube decagon demorgans law derivative determinant diagonal directrix dodecagon e eigenvalue eigenvector ellipse equilateral triangle erf function euclid euler eulers formula eulers identity exercises exponent exponential exterior angle first principles flip-flop focus gabriels horn galileo gamma function gaussian distribution gradient graph hendecagon heptagon heron hexagon hilbert horizontal hyperbola hyperbolic function hyperbolic functions infinity integration integration by parts integration by substitution interior angle inverse function inverse hyperbolic function inverse matrix irrational irrational number irregular polygon isomorphic graph isosceles trapezium isosceles triangle kite koch curve l system lhopitals rule limit line integral locus logarithm maclaurin series major axis matrix matrix algebra mean minor axis n choose r nand gate net newton raphson method nonagon nor gate normal normal distribution not gate octagon or gate parabola parallelogram parametric equation pentagon perimeter permutation matrix permutations pi pi function polar coordinates polynomial power probability probability distribution product rule proof pythagoras proof quadrilateral questions quotient rule radians radius rectangle regular polygon rhombus root sech segment set set-reset flip-flop simpsons rule sine sine rule sinh slope sloping lines solving equations solving triangles square square root squeeze theorem standard curves standard deviation star polygon statistics straight line graphs surface of revolution symmetry tangent tanh transformation transformations translation trapezium triangle turtle graphics uncountable variance vertical volume volume of revolution xnor gate xor gate