Euler's formula and its proof
Categories: complex numbers imaginary numbers
In this article we will Euler's formula and Euler's identity. We will also see how to prove Euler's formula in a couple of different ways.
Euler's formula
Euler's formula is:

Where θ is measured in radians.
Euler's identity
If we substitute a value of π for θ in we get Euler's formula:

Since cos π is -1, and sin π is 0, this leads to Euler's identity:

If we prove Euler's formula, this will also prove Euler's identity.
What do we mean by proof?
Quite often in mathematics, we might have an equation where the meaning of the equation is extremely clear, and we simply need to prove that it is true. This applies, for example, to Pythagoras' theorem - we know what a triangle is, and we know how to square and add numbers, so all we need to do is prove that the formula is correct.
With Euler's formula, things aren't quite so clear-cut. We are raising e to the power of an imaginary number. To take the naive definition of powers, we are multiplying e by itself an imaginary number of times. What does that even mean?
An alternative way to look at this is to say that we have decided to define Euler's formula to be true. The task now is to decide if that definition is a good one. Is it sensible, consistent, and useful to say that, by definition, Euler's formula tells us what it means to raise a number to an imaginary power.
Our approach will be to look at the formula from several angles. Firstly, we will consider the geometric interpretation of the formula, and how it relates to what we know about the modulus-argument form and multiplication of complex numbers. Secondly, we will look at several definitions of the exponential function for real numbers, and ask if Euler's formula appears to be correct when we extend those definitions into the imaginary domain.
We will see that it makes a lot of sense to accept Euler's formula as the definition of what it means to raise a number to an imaginary power.
Geometric interpretation of Euler's formula
Here is Euler's formula again:

The right-hand side has a simple geometric interpretation. Here it is represented on an Argand diagram:

The complex number with real part cos θ and imaginary part sin θ is a distance 1 from the origin and makes an angle θ with the x-axis. In other words, it has modulus 1 and argument θ.
If we multiply both sides of Euler's formula by r, where r >= 0, we get the following:

Here is that point on an Argand diagram:

The complex number with real part r cos θ and imaginary part r sin θ is a general complex number with modulus r and argument θ. So, based on the previous formula the expression:

Also represents a general complex number with modulus r and argument θ.
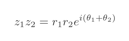
Multiplication
When we multiply two complex numbers in modulus-argument form, we multiply the 2 moduli, and add the 2 angles:

This is shown on an Argand diagram here:

Using the exponential form gives:

When we multiply 2 exponential terms that have real exponents, we add the exponents. If we assume that imaginary exponents work in the same way, this expression becomes:

So we have multiplied the moduli and added the angles, which is exactly what we need. This shows that Euler's formula is consistent when we multiply two complex numbers. That is a good start, although it doesn't really explain why the exponent has a factor of i.
If you look at the modulus-argument article linked previously, you will see that Euler's formula is also consistent when raising a complex number to a real power, or finding a real root of a complex number.
Definitions of the exponential function
There are several ways to define the exponential function. We will look at 3 different ways here, and then go on to see if those definitions still make sense in terms of Euler's formula.
The first definition of the exponential function is that it is the only function f that satisfies these conditions:

This follows since the exponential function is the only non-trivial function that is its own derivative. Of course, if we multiply the exponential function by any real number n, the resulting function is also its own derivative. By specifying that the value of the function must be 1 when x is 0, we eliminate any n other than 1.
A second definition of the exponential function relies on a limit:

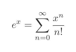
Finally, we can define the exponential function via its Maclaurin expansion:

Proof by differentiation
We saw previously that a defining characteristic of the exponential function is that it is its own derivative.
What about the derivative of e to the power of iθ? If that means anything, we would surely expect to be able to differentiate it in the normal way. So let's assume:

Notice the extra factor of i since the exponent is iθ (due to the chain rule). Just for good measure, as we will be needing this soon, here is the negative case:

We can now take Euler's formula:

And rearrange it:

This can be written as:

It is easy to verify that when θ is 0, this equation is true (e to the power 0 is 1, and cos 0 is 1).
To prove that this expression is always equal to 1, we just need to prove that its first derivative is always zero. We will use the product rule to differentiate the LHS:

This gives:

Taking out the common exponential factor gives:

The sine and cosine terms sum to 0 (remembering that i squared is -1), so the whole expression is zero. This proves that Euler's formula leads to the result:

Proof by Maclaurin expansion
The Maclaurin expansion of the exponential function is:

We will substitute a value of iθ for x to extend this definition to the imaginary domain:

We can simplify this using the following identities:

Power of i from a repeating sequence of i, -1, -i, 1 ... Applying these identities to the equation above gives:

We can separate out the real and imaginary terms in this equation:

Let's compare this with the standard Maclaurin expansions for sin and cos:

The cos series is identical to the real series in the previous exponential function, and the sin series is identical to the imaginary part. So this proves once again that:

Summary
We have shown that Euler's formula is consistent with the way that complex number multiplication, powers and roots work. We have also shown that, for 2 commonly used definitions of the exponential function, if we assume that the definitions can be extended into the imaginary domain, then Euler's function can be proved as a consequence of the definition.
Related articles
- Imaginary and complex numbers
- Complex number arithmetic
- Argand diagrams
- Why does complex number multiplication cause rotation?
- Modulus-argument form of complex numbers
- De Moivre's theorem
- i to the power i
- Complex powers and roots of complex numbers
- Semiprocal numbers - z to the power i
- Complex polynomials
- Complex number trigonometry functions
Join the GraphicMaths Newsletter
Sign up using this form to receive an email when new content is added to the graphpicmaths or pythoninformer websites:
Popular tags
adder adjacency matrix alu and gate angle answers area argand diagram binary maths cardioid cartesian equation chain rule chord circle cofactor combinations complex modulus complex numbers complex polygon complex power complex root cosh cosine cosine rule countable cpu cube decagon demorgans law derivative determinant diagonal directrix dodecagon e eigenvalue eigenvector ellipse equilateral triangle erf function euclid euler eulers formula eulers identity exercises exponent exponential exterior angle first principles flip-flop focus gabriels horn galileo gamma function gaussian distribution gradient graph hendecagon heptagon heron hexagon hilbert horizontal hyperbola hyperbolic function hyperbolic functions infinity integration integration by parts integration by substitution interior angle inverse function inverse hyperbolic function inverse matrix irrational irrational number irregular polygon isomorphic graph isosceles trapezium isosceles triangle kite koch curve l system lhopitals rule limit line integral locus logarithm maclaurin series major axis matrix matrix algebra mean minor axis n choose r nand gate net newton raphson method nonagon nor gate normal normal distribution not gate octagon or gate parabola parallelogram parametric equation pentagon perimeter permutation matrix permutations pi pi function polar coordinates polynomial power probability probability distribution product rule proof pythagoras proof quadrilateral questions quotient rule radians radius rectangle regular polygon rhombus root sech segment set set-reset flip-flop simpsons rule sine sine rule sinh slope sloping lines solving equations solving triangles square square root squeeze theorem standard curves standard deviation star polygon statistics straight line graphs surface of revolution symmetry tangent tanh transformation transformations translation trapezium triangle turtle graphics uncountable variance vertical volume volume of revolution xnor gate xor gate