Derivative of the exponential function
Categories: exponentials differentiation
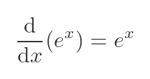
The exponential function, based on Euler's number, e, has the property that:

This is an important result. It tells us that the exponential function is its own derivative. This means that we can use it to solve equations where the rate of change of x is proportional to the value of x.
In this article, we will prove this result and look at some of the consequences.
Derivative of the exponential function
To prove the result, we will start from first principles. The derivative of a function y = f(x) is given by:

In the case of the exponential function ex, this gives us:

From the rules of exponents we know that ex + h is exeh so we can extract the common factor of ex:

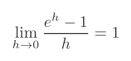
Now, as we will prove next, it is a well-known property of e that:

Substituting this into the previous equation gives:

This proves the derivative of the exponential function.
Proof of the limit property of e
We aim to prove that the following limit, L, is equal to 1. If we can prove this, then it proves the derivative of the exponential function (based on the previous section):

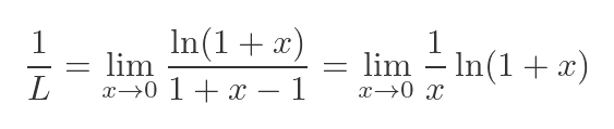
We can express 1/L as:

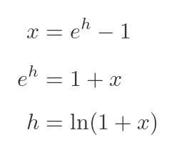
We will use a variable substitution x. We can then express eh and h in terms of x:

We know that, as h tends to 0, eh tends to 1. From the first equation above, that means that, as h tends to 0, x also tends to 0. So we can write the limit for 1/L in terms of x rather than h:

We can use the power rule of logarithms to simplify this:

Since the ln function is continuous, we can move the limit inside the function:

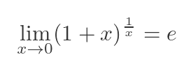
You might recognise this limit as being the definition of e:

This means that 1/L is 1, so of course L is 1:

This proves that the original limit is equal to 1.
Why e?
You might still be wondering why the magic value of e is involved in this equation. Well, if we go back to this equation:

We see that the crucial fact is that the limit term is 1:

We won't prove it here, but for this limit to be true essentially requires ex to have a slope of 1 at x = 0.
These graphs show exponential functions with bases of 2, e and 5, with a dotted black line of slope 1:

Base e has a slope of 1 when x is zero. Base 2 has a slope of less than 1, base 5 has a slope of greater than 1.
A new definition of e
We can now provide an alternative definition of e:
e is the base value for which the function a to the power x has a slope of 1 when x is zero.
Given this new definition, it is a lot easier to understand why e has such special properties.
But why is this definition valid? If you recall the article formula for e, our starting point was a bank account that paid 100% per year. So £1 turned into £2 in the first year, giving a slope of £1/year.
We deliberately set the slope to 1, and the value of e arose out of that initial condition.
If we draw an exponential function with a slope of 1 at x = 0, that function will have a base of e. This is similar to saying that if you draw a circle of radius 1, it will have an area of π.
The value e, like π, is what it is - a strange irrational number that arises out of a simple situation. In fact, e and π are closely related. π arises from a simple unit second-order differential equation see Pi isn't about circles, in a similar way that e arises out of a simple first-order differential equation. Also, e and π are related by Euler's identity.
Derivative of e^ax
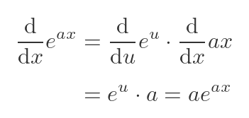
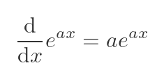
It is also useful to know that:

This can be proved using u-substitution, with u = ax:

Applying u-substitution gives:

Which proves the result.
Integration
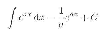
Since the derivative of ex is ex, it follows that the integral is also ex.
More precisely, the indefinite integral of ex is:

Where C is the constant of integration.
Since the function tends to zero as x tends to minus infinity, we have the following definite integral:

In other words, the area under the curve from minus infinity to p is e to the power p. This is shown graphically here:

The area A under the curve is equal to the value of the curve.
In addition, since we proved earlier that:

It follows that:

This can be proved in a similar way to the previous case.
Related articles
Join the GraphicMaths Newsletter
Sign up using this form to receive an email when new content is added to the graphpicmaths or pythoninformer websites:
Popular tags
adder adjacency matrix alu and gate angle answers area argand diagram binary maths cardioid cartesian equation chain rule chord circle cofactor combinations complex modulus complex numbers complex polygon complex power complex root cosh cosine cosine rule countable cpu cube decagon demorgans law derivative determinant diagonal differential equation directrix dodecagon e eigenvalue eigenvector ellipse equilateral triangle erf function euclid euler eulers formula eulers identity exercises exponent exponential exterior angle first principles flip-flop focus gabriels horn galileo gamma function gaussian distribution gradient graph hendecagon heptagon heron hexagon hilbert horizontal hyperbola hyperbolic function hyperbolic functions infinity integration integration by parts integration by substitution interior angle inverse function inverse hyperbolic function inverse matrix irrational irrational number irregular polygon isomorphic graph isosceles trapezium isosceles triangle kite koch curve l system lhopitals rule limit line integral locus logarithm maclaurin series major axis matrix matrix algebra mean minor axis n choose r nand gate net newton raphson method nonagon nor gate normal normal distribution not gate octagon or gate parabola parallelogram parametric equation pentagon perimeter permutation matrix permutations pi pi function polar coordinates polynomial power probability probability distribution product rule proof pythagoras proof quadrilateral questions quotient rule radians radius rectangle regular polygon rhombus root sech segment set set-reset flip-flop simpsons rule sine sine rule sinh slope sloping lines solving equations solving triangles square square root squeeze theorem standard curves standard deviation star polygon statistics straight line graphs surface of revolution symmetry tangent tanh transformation transformations translation trapezium triangle turtle graphics uncountable variance vertical volume volume of revolution xnor gate xor gate