Square root of 2 by 2 matrix using Cayley–Hamilton theorem
Categories: matrices
Level:
The square of a matrix R is just R multiplied by R. We can define the square root of a matrix as the inverse function, like this:

That is, if S is the square of R, then R is a square root of S. And just like regular square roots, a matrix can have more than one square root. It can have complex-valued square roots, and some matrices have no square roots at all. We will look at these special cases later.
One important thing to notice is that R and S must both be square matrices, with the same shape. R must be square because only a square matrix can be multiplied by itself. And a square matrix multiplied by itself creates a matrix of the same order, so S must be square and of the same shape as R.
There are various ways to find the square root of a matrix, but for the case of a 2 by 2 matrix, there is actually a fairly simple formula we can use. We will introduce that formula here and then derive it.
Formula for the square root of a 2 by 2 matrix
The square root R of a 2 by 2 matrix S can be written as:

Where:

And:

In these formulas, |S| is the determinant of S, Tr(s) is the trace of S, and I is the unit matrix (see the next section for a recap of what these terms mean).
Notice that both terms are square roots, and the positive and negative values each give a valid solution. This means that a 2 by 2 matrix might have up to 4 square roots. However, there are special cases that we will look at below.
Some useful values
We will start by calculating some values that will be useful in deriving the formula. First, let's name the elements of the 2 by 2 matrix R:

The determinant of a matrix is a single number that is calculated from the elements of a matrix. For a 2 by 2 matrix, the determinant is calculated by combining the 4 elements as follows:

The trace of a matrix is simply the sum of all the elements on the leading diagonal. For a 2 by 2 matrix, it is given by:

We will make use of the rule that the determinant of the product of two matrices is equal to the product of the determinants of the two matrices:

Using this rule, we can show that the determinant of S is equal to the square of the determinant of R:

This means that, if R is a square root of S, then the determinant of R must be equal to plus or minus the square root of the determinant of S. This is the quantity we previously called δ:

Also, as a reminder, the 2 by 2 unit matrix I is equal to:

The characteristic equation
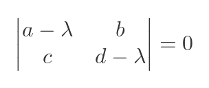
We are going to make use of the characteristic equation of R. We won't make direct use of it, but it plays a part in the Cayley–Hamilton theorem, which we will use next. The characteristic equation tells us that λ is an eigenvalue of the matrix X if and only if:

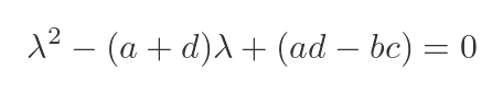
We can substitute the known values for R and I into the general equation:

Then we can add the two matrices to simplify the determinant:

We can then expand the 2 by 2 determinant:

Simplifying the terms gives:

Now we know from earlier that the (a + d) is equal to Tr(R), and also that (ad - bc) is equal to |R|, which in turn is equal to δ. This gives us a quadratic equation in λ:

We could solve this equation to find the eigenvalues, but we aren't going to do that here. Instead, we are going to use the Cayley-Hamilton theorem.
The Cayley-Hamilton theorem
We won't look at the Cayley-Hamilton theorem in detail here, but it can be summarised as follows: every square matrix satisfies its own characteristic equation.
What does this mean? Well, if a matrix M has a characteristic equation of the form:

Then Cayley-Hamilton says that if we replace λ with M, the equation will still be satisfied:

There is a small wrinkle here. λ is a scalar, so the original characteristic equation is a scalar equation. But M is a matrix, so we need to use a matrix equation. We can't add the scalar p to the other matrix terms. The theorem requires us to first multiply p by the unit matrix, as shown.
We can apply this to our matrix R. Substituting our previous values into the equation:

Finding R in terms of S
Our solution is now closer than it might look. We aim to find R for any given S. The problem is that our equations currently contain only terms in R. But R and S are related. If we could express some of those terms using S instead, we might be able to solve for R.
There is one thing we can do straight away. The previous equation had a term in R squared, and of course, we know that is equal to S:

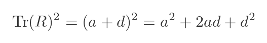
The next obvious term to look at is Tr(R). Can we convert this to something else, perhaps something involving Tr(S)? We know from earlier that Tr(R) is a + d. Can we find a similar expression for Tr(S)? Well we know that S is R squared, so we can find S in terms of the values a to d by matrix multiplication:

Tr(S) is just the sum of the two terms in the leading diagonal:

Now the a² and d² are quite interesting. We know that Tr(R) is a + d, so squaring that will give us quite a similar expression:

Comparing the previous expressions gives the following relationship between Tr(R) and Tr(S):

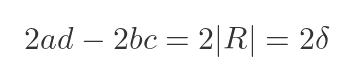
But, of course, ad - bc is the determinant of R. And we already know that the values of |R| for the solutions of the C-H equation are our old friend δ, in its positive and negative forms:

Putting this back into the previous equation gives:

We can now take the square root to find Tr(R). Once again, we must consider the positive and negative cases. This turns out to be the value 𝜏 that we defined right at the start:

Finding the solution
If we go back to our previous solution to the C-H equation using R:

Making the substitutions for R² and Tr(R):

This can be easily rearranged to prove the square root formula:

An example
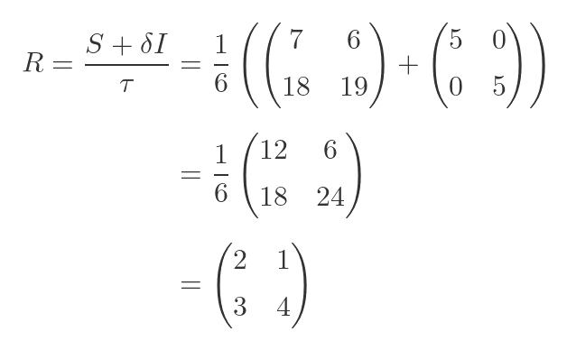
Let's verify this with an example. We will find the roots of the following matrix:

The matrix has been deliberately chosen as the square of a reasonably simple matrix, so we don't have to deal with messy radicals when we calculate R. But it isn't a trivial case, so it is a fair test.
We can find the trace and determinant of S. We won't go through this in detail, it can be easily verified using an online matrix calculator:

We can then calculate the positive values of δ and 𝜏:

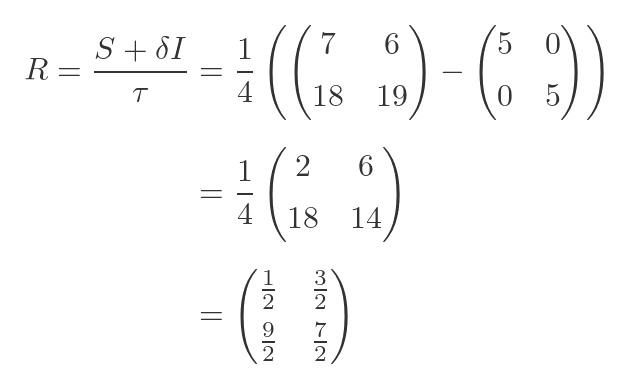
Putting these values into the square root formula gives:

This is the value of R we used to create S, so we know it is the correct square root.
What if we choose the negative value of δ? This will also affect the value of 𝜏:

Performing the same calculation as before, we get:

This is a different matrix, but if we square it, we get the same result, S.
We must also consider the negative values of 𝜏. It can be -6 when δ is 5, or -4 when δ is -5. Since 𝜏 only appears as the denominator, changing its sign effectively negates the whole matrix. So S has 4 square roots, the two given above and their negatives.
Some special cases
There are several special cases we should be aware of:
- If the determinant of S is zero, then δ will be zero. This means that there are only two possible solutions (because +ve δ and -ve δ are both equal to zero). In this situation, S has two pairs of roots that are coincident.
- If 2δ and Tr(S) have the same magnitude, then when they have opposite signs, 𝜏 will be zero, so those roots will be undefined. Once again, there will only be two possible solutions.
- If δ and Tr(S) are both zero, then 𝜏 will be zero, so there will be no solutions (except in the special case where S is the zero matrix Z, when of course R will also be Z, because Z squared is Z).
- If either Tr(S) + 2δ or |S| (but not both) is negative, then the matrix square roots will have complex-valued elements.
Related articles
Join the GraphicMaths Newsletter
Sign up using this form to receive an email when new content is added to the graphpicmaths or pythoninformer websites:
Popular tags
adder adjacency matrix alu and gate angle answers area argand diagram binary maths cardioid cartesian equation chain rule chord circle cofactor combinations complex modulus complex numbers complex polygon complex power complex root cosh cosine cosine rule countable cpu cube decagon demorgans law derivative determinant diagonal directrix dodecagon e eigenvalue eigenvector ellipse equilateral triangle erf function euclid euler eulers formula eulers identity exercises exponent exponential exterior angle first principles flip-flop focus gabriels horn galileo gamma function gaussian distribution gradient graph hendecagon heptagon heron hexagon hilbert horizontal hyperbola hyperbolic function hyperbolic functions infinity integration integration by parts integration by substitution interior angle inverse function inverse hyperbolic function inverse matrix irrational irrational number irregular polygon isomorphic graph isosceles trapezium isosceles triangle kite koch curve l system lhopitals rule limit line integral locus logarithm maclaurin series major axis matrix matrix algebra mean minor axis n choose r nand gate net newton raphson method nonagon nor gate normal normal distribution not gate octagon or gate parabola parallelogram parametric equation pentagon perimeter permutation matrix permutations pi pi function polar coordinates polynomial power probability probability distribution product rule proof pythagoras proof quadrilateral questions quotient rule radians radius rectangle regular polygon rhombus root sech segment set set-reset flip-flop simpsons rule sine sine rule sinh slope sloping lines solving equations solving triangles square square root squeeze theorem standard curves standard deviation star polygon statistics straight line graphs surface of revolution symmetry tangent tanh transformation transformations translation trapezium triangle turtle graphics uncountable variance vertical volume volume of revolution xnor gate xor gate