Einstein's proof of Pythagoras' theorem
Categories: gcse trigonometry pythagoras
Level:
 
    There are many proofs of Pythagoras' theorem, but perhaps one of the most elegant is Einstein's proof.
Here is a video on the topic:
The proof itself is quite simple, but there are a couple of important elements of the proof that are worth looking at first.
We don't need to draw squares to prove Pythagoras' theorem
For a right-angled triangle like this with sides a and b, and hypotenuse c, Pythagoras's theorem gives the result:

We often represent this by drawing squares on the 3 sides, like this:

The area of square A is a2. B is b2 and C is c2. So Pythagoras's theorem can be written as:

This means that if we can prove that the areas A and B add up to C, we have proved Pythagoras' theorem. Many proofs take this approach, using various clever methods to prove that the areas are equal.
However, this is a slight failure of imagination. Just because the formula contains the algebraic operation square doesn't mean we have to draw geometric squares to prove it!
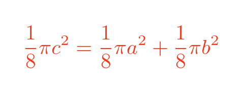
We could use any shape. For example, we could draw a semicircle on each side of the triangle, instead of a square:

The area of semicircle A is:

Where r is the radius of the semicircle. Since a is twice the radius, this gives:

There are corresponding formulas to find B in terms of b, and C in terms of c. So, if areas A and B add up to C, we have:

This is just Pythagoras' equation multiplied by a constant factor.
This means that if we can prove that the A and B add up to C, we have proved Pythagoras' theorem.
Now unfortunately there doesn't appear to be any simple way to prove that the semicircles obey this formula. But that wasn't the point. We have demonstrated that we can use any shape, not just a square. The requirement is that:
- The three shapes A, B and C are similar triangles. Similar means that they are the same shape but might be different sizes.
- The linear sizes of the three shapes are proportionate to the lengths of sides a, b and c.
Using semicircles wasn't any help, but we will see that using a special type of triangle leads to Einstein's elegant proof.
The altitude of a right-angled triangle creates three similar triangles
Let's construct a perpendicular line from the hypotenuse of the original triangle to its apex (this line is called the altitude of the triangle):

These two new triangles are both similar to the original triangle:

How do we know they are similar? Well, if two triangles have two angles the same, they are similar (and the third angle must also be the same). This means that triangles c and b above are similar because they both have a right angle and an angle x. This also means that the unmarked angle in b must be y, the same as triangle c.
Also, triangles c and a are similar because they both have a right angle and an angle y.
Notice that not only are the triangles similar, but the hypotenuses have lengths c, b, and a. So the three triangles have linear dimensions that are proportionate to the lengths of the sides of the original triangle.
Einstein's proof
We can now add these three triangles to the sides of the original triangle:

Triangle C is identical to the original triangle.
Since A and B are formed by dissecting the main triangle, this proves that:

Which proves Pythagoras' theorem.
Related articles
 
    Join the GraphicMaths Newsletter
Sign up using this form to receive an email when new content is added:
Popular tags
adder adjacency matrix alu and gate angle answers area argand diagram binary maths cartesian equation chain rule chord circle cofactor combinations complex modulus complex numbers complex polygon complex power complex root cosh cosine cosine rule countable cpu cube decagon demorgans law derivative determinant diagonal directrix dodecagon e eigenvalue eigenvector ellipse equilateral triangle erf function euclid euler eulers formula eulers identity exercises exponent exponential exterior angle first principles flip-flop focus gabriels horn galileo gamma function gaussian distribution gradient graph hendecagon heptagon heron hexagon hilbert horizontal hyperbola hyperbolic function hyperbolic functions infinity integration integration by parts integration by substitution interior angle inverse function inverse hyperbolic function inverse matrix irrational irrational number irregular polygon isomorphic graph isosceles trapezium isosceles triangle kite koch curve l system lhopitals rule limit line integral locus logarithm maclaurin series major axis matrix matrix algebra mean minor axis n choose r nand gate net newton raphson method nonagon nor gate normal normal distribution not gate octagon or gate parabola parallelogram parametric equation pentagon perimeter permutation matrix permutations pi pi function polar coordinates polynomial power probability probability distribution product rule proof pythagoras proof quadrilateral questions quotient rule radians radius rectangle regular polygon rhombus root sech segment set set-reset flip-flop simpsons rule sine sine rule sinh slope sloping lines solving equations solving triangles square square root squeeze theorem standard curves standard deviation star polygon statistics straight line graphs surface of revolution symmetry tangent tanh transformation transformations translation trapezium triangle turtle graphics uncountable variance vertical volume volume of revolution xnor gate xor gate